二甲基硅油
二乙基硅油
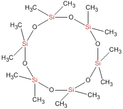
环甲基硅油
氟硅油
含氢硅油
羟基硅油
乙烯基硅油
苯基硅油
烷氧基硅油
真空泵硅油
氨基硅油
环氧基硅油



环甲基硅油
SiSiB® CODE 化学名称 CAS NO.
SiSiB® CF1040 八甲基环四硅氧烷 556-67-2
SiSiB® CF1050 十甲基环五硅氧烷 541-02-6
SiSiB® CF1060 十二甲基环六硅氧烷 (D6) 540-97-6
SiSiB® CF1045 D4: 70% and D5: 30% N.A.
SiSiB® CF1056 D5: 65% and D6: 35% N.A.


下载 硅橡胶手册 硅油手册 气相法白炭黑手册

Search    

下载 西斯博有机硅产品手册(大全)

硅油 | 聚硅氧烷 | 硅氧烷聚合物 | 硅氧烷共聚物 | 有机硅乳液 | 环硅氧烷 | 硅胶 | 倍半硅氧烷 | 硅脂 | 二甲基硅油 | 乙基硅油 | 含氟硅油 | 含氢硅油 | 乙烯基硅油 | 苯基硅油 | 烷氧基硅油 | 氨基硅油 | 环氧基硅油 | 聚醚硅油 |
聚合物 | 有机硅隔离剂 | 有机硅脱模剂 | 有机硅疏水剂 | 有机硅防水剂 | 有机硅流平剂 | 有机硅柔软剂 | 有机硅消泡剂 | 有机硅展着渗透剂 | 有机硅农药增效剂 | 有机硅表面活性剂 |
硅橡胶 | 基础硅橡胶 | 单组份室温硅橡胶 | 双组份室温硅橡胶 | 含氟硅橡胶 (FSR) | 高温硅橡胶 (HCR) (HCE) (HTV) | 液体硅橡胶 (LSR) | 甲基硅橡胶 | 乙烯基硅橡胶 | 苯基硅橡胶 | 硅树脂 | 有机硅烷 | 气相法白炭黑 |


SiSiB SILICONES